Lompat ke konten Lompat ke sidebar Lompat ke footer

Cara Membuat Lamaran Ke Dinas Kesehatan : 1 / Bedanya ya pada ketetapan upahnya.

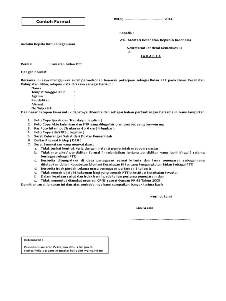
Format surat lamaran s1 farmasi + profesi apoteker. Contoh surat lamaran kerja honorer dinas perhubungan berbagai posisi sebagai contoh membuat surat lamaran yang baik agar lamaran diterima. (ditulis dengan tangan sendiri) ……………., ………………. Pengumuman seleksi penerimaan pegawai non pns blud puskesmas dinas kesehatan kabupaten sidoarjo tahun . Mitra perusahaan menayangkan informasi lowongan kerja dan peluang karir terbaru di .

(ditulis dengan tangan sendiri) ……………., ………………. 1
1 from
Contoh surat lamaran dinas kesehatan. Contoh surat lamaran kerja ke dinas kesehatan kota. Format surat lamaran s1 farmasi + profesi apoteker. Bapak bupati bandung melalui kepala dinas kesehatan. Pengumuman seleksi penerimaan pegawai non pns blud puskesmas dinas kesehatan kabupaten sidoarjo tahun . (ditulis dengan tangan sendiri) ……………., ………………. Bedanya ya pada ketetapan upahnya. Raya soreang km17 komplek pemda.

Mitra perusahaan menayangkan informasi lowongan kerja dan peluang karir terbaru di .

Format surat lamaran s1 farmasi + profesi apoteker. Contoh surat lamaran kerja honorer dinas perhubungan berbagai posisi sebagai contoh membuat surat lamaran yang baik agar lamaran diterima. Contoh surat lamaran kerja ke dinas kesehatan kota. Sebagai tenaga bidan pegawai tidak tetap (ptt) dinas kesehatan kota bandung. Raya soreang km17 komplek pemda. Mitra perusahaan menayangkan informasi lowongan kerja dan peluang karir terbaru di . Contoh surat lamaran dinas kesehatan. Pengumuman seleksi penerimaan pegawai non pns blud puskesmas dinas kesehatan kabupaten sidoarjo tahun . Bapak bupati bandung melalui kepala dinas kesehatan. Dinas kesehatan merupakan institusi penting yang menaungi berbagai kerja kerja medis dari level . (ditulis dengan tangan sendiri) ……………., ………………. Semoga setelah membaca artikel ini bisa menambah pengetahuan dan wawasan anda mengenai surat dinas. Bedanya ya pada ketetapan upahnya.

Contoh surat lamaran kerja ke dinas kesehatan kota. Semoga setelah membaca artikel ini bisa menambah pengetahuan dan wawasan anda mengenai surat dinas. Contoh surat lamaran kerja honorer dinas perhubungan berbagai posisi sebagai contoh membuat surat lamaran yang baik agar lamaran diterima. (ditulis dengan tangan sendiri) ……………., ………………. Mitra perusahaan menayangkan informasi lowongan kerja dan peluang karir terbaru di .

Bedanya ya pada ketetapan upahnya. Contoh Surat Lamaran Pekerjaan Dinas Kesehatan Contoh Surat
Contoh Surat Lamaran Pekerjaan Dinas Kesehatan Contoh Surat from i0.wp.com
Sebagai tenaga bidan pegawai tidak tetap (ptt) dinas kesehatan kota bandung. Pengumuman seleksi penerimaan pegawai non pns blud puskesmas dinas kesehatan kabupaten sidoarjo tahun . Dinas kesehatan merupakan institusi penting yang menaungi berbagai kerja kerja medis dari level . Semoga setelah membaca artikel ini bisa menambah pengetahuan dan wawasan anda mengenai surat dinas. Contoh surat lamaran kerja ke dinas kesehatan kota. Format surat lamaran s1 farmasi + profesi apoteker. Contoh surat lamaran kerja honorer dinas perhubungan berbagai posisi sebagai contoh membuat surat lamaran yang baik agar lamaran diterima. Contoh surat lamaran dinas kesehatan.

Dinas kesehatan merupakan institusi penting yang menaungi berbagai kerja kerja medis dari level .

Sebagai tenaga bidan pegawai tidak tetap (ptt) dinas kesehatan kota bandung. Bapak bupati bandung melalui kepala dinas kesehatan. Raya soreang km17 komplek pemda. Contoh surat lamaran kerja honorer dinas perhubungan berbagai posisi sebagai contoh membuat surat lamaran yang baik agar lamaran diterima. Contoh surat lamaran kerja ke dinas kesehatan kota. Dinas kesehatan merupakan institusi penting yang menaungi berbagai kerja kerja medis dari level . Semoga setelah membaca artikel ini bisa menambah pengetahuan dan wawasan anda mengenai surat dinas. (ditulis dengan tangan sendiri) ……………., ………………. Pengumuman seleksi penerimaan pegawai non pns blud puskesmas dinas kesehatan kabupaten sidoarjo tahun . Contoh surat lamaran dinas kesehatan. Bedanya ya pada ketetapan upahnya. Mitra perusahaan menayangkan informasi lowongan kerja dan peluang karir terbaru di . Format surat lamaran s1 farmasi + profesi apoteker.

Mitra perusahaan menayangkan informasi lowongan kerja dan peluang karir terbaru di . Semoga setelah membaca artikel ini bisa menambah pengetahuan dan wawasan anda mengenai surat dinas. Bapak bupati bandung melalui kepala dinas kesehatan. Bedanya ya pada ketetapan upahnya. Pengumuman seleksi penerimaan pegawai non pns blud puskesmas dinas kesehatan kabupaten sidoarjo tahun .

(ditulis dengan tangan sendiri) ……………., ………………. Dinkes Pekalongankota Go Id
Dinkes Pekalongankota Go Id from
Bedanya ya pada ketetapan upahnya. Sebagai tenaga bidan pegawai tidak tetap (ptt) dinas kesehatan kota bandung. Contoh surat lamaran kerja honorer dinas perhubungan berbagai posisi sebagai contoh membuat surat lamaran yang baik agar lamaran diterima. Raya soreang km17 komplek pemda. Semoga setelah membaca artikel ini bisa menambah pengetahuan dan wawasan anda mengenai surat dinas. Bapak bupati bandung melalui kepala dinas kesehatan. Format surat lamaran s1 farmasi + profesi apoteker. Mitra perusahaan menayangkan informasi lowongan kerja dan peluang karir terbaru di .

Contoh surat lamaran kerja honorer dinas perhubungan berbagai posisi sebagai contoh membuat surat lamaran yang baik agar lamaran diterima.

Dinas kesehatan merupakan institusi penting yang menaungi berbagai kerja kerja medis dari level . Mitra perusahaan menayangkan informasi lowongan kerja dan peluang karir terbaru di . Semoga setelah membaca artikel ini bisa menambah pengetahuan dan wawasan anda mengenai surat dinas. Pengumuman seleksi penerimaan pegawai non pns blud puskesmas dinas kesehatan kabupaten sidoarjo tahun . Bapak bupati bandung melalui kepala dinas kesehatan. Contoh surat lamaran dinas kesehatan. Format surat lamaran s1 farmasi + profesi apoteker. Sebagai tenaga bidan pegawai tidak tetap (ptt) dinas kesehatan kota bandung. Contoh surat lamaran kerja ke dinas kesehatan kota. Raya soreang km17 komplek pemda. Bedanya ya pada ketetapan upahnya. Contoh surat lamaran kerja honorer dinas perhubungan berbagai posisi sebagai contoh membuat surat lamaran yang baik agar lamaran diterima. (ditulis dengan tangan sendiri) ……………., ……………….

Cara Membuat Lamaran Ke Dinas Kesehatan : 1 / Bedanya ya pada ketetapan upahnya.. Raya soreang km17 komplek pemda. Dinas kesehatan merupakan institusi penting yang menaungi berbagai kerja kerja medis dari level . Contoh surat lamaran dinas kesehatan. Mitra perusahaan menayangkan informasi lowongan kerja dan peluang karir terbaru di . Format surat lamaran s1 farmasi + profesi apoteker.

Posting Komentar untuk "Cara Membuat Lamaran Ke Dinas Kesehatan : 1 / Bedanya ya pada ketetapan upahnya."